Related Topics:
More videos, activities and worksheets that are suitable for A Level Maths
Questions and Worked Solutions for C34 Edexcel Core Mathematics January 2015.
Download Edexcel Core Mathematics C34 January 2015 Past Paper (PDF)
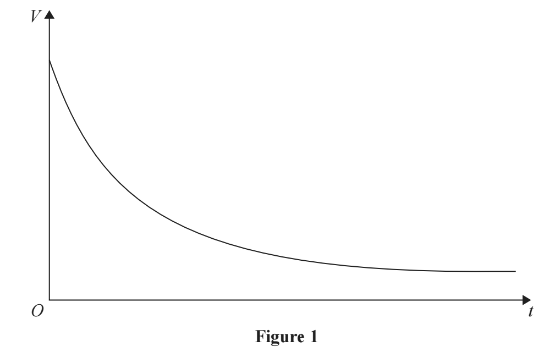
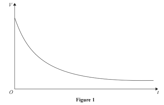
Core 34 Mathematics Edexcel January 2015 Question 8

The value of Lin’s car is modelled by the formula
V = 18000e–0.2t + 4000e–0.1t + 1000, t ≥ 0
where the value of the car is V pounds when the age of the car is t years.
A sketch of t against V is shown in Figure 1.
(a) State the range of V.
According to this model,
(b) find the rate at which the value of the car is decreasing when t = 10
Give your answer in pounds per year.
(c) Calculate the exact value of t when V = 15000
Core 34 Mathematics Edexcel January 2015 Question 9

(b) Hence find an exact value for the area of R.
Write your answer in the form (a + lnb), where a and b are rational numbers.
(c) Find a cartesian equation of the curve C in the form y = f(x).
Core 34 Mathematics Edexcel January 2015 Question 10

(c) Use your answer to part (b) to deduce the coordinates of point A to one decimal place.
Core 34 Mathematics Edexcel January 2015 Question 11

(d) find the two possible position vectors of B.
Core 34 Mathematics Edexcel January 2015 Question 12

(b) Use the trapezium rule, with all the values of y in the completed table, to obtain an estimate for the area of S, giving your answer to 3 decimal places.
(c) Use calculus to find the exact area of S.
Give your answer in the form a/b + ln c, where a, b and c are integers.
(d) Hence calculate the percentage error in using your answer to part (b) to estimate the area of S. Give your answer to one decimal place.
(e) Explain how the trapezium rule could be used to obtain a more accurate estimate for the area of S.
Core 34 Mathematics Edexcel January 2015 Question 13(a)
(a) Express 10cosθ – 3sinθ in the form Rcos (θ + α), where R > 0 and 0 < α < 90°
Give the exact value of R and give the value of α to 2 decimal places.
Alana models the height above the ground of a passenger on a Ferris wheel by the equation
H = 12 – 10cos(30t)° + 3sin(30t)°
where the height of the passenger above the ground is H metres at time t minutes after the wheel starts turning.
(b) Calculate
(i) the maximum value of H predicted by this model,
(ii) the value of t when this maximum first occurs.
Give each answer to 2 decimal places.
(c) Calculate the value of t when the passenger is 18m above the ground for the first time. Give your answer to 2 decimal places.
(d) Determine the time taken for the Ferris wheel to complete two revolutions.
Check out our most popular games!
Fraction Concoction Game:
Master fractions in the lab: mix, add, and subtract beakers to create the perfect concoction!
Fact Family Game:
Complete fact families and master the link between addition & subtraction and multiplication & division.
Number Bond Garden:
Clear the board by matching number pairs that sum to ten in this garden-themed mental math puzzle.
Online Addition Subtraction Game:
Practice your addition and subtraction skills to help the penguin find its mummy.
We welcome your feedback, comments and questions about this site or page. Please submit your feedback or enquiries via our Feedback page.