Related Pages
AP Calculus AB 2018 Exam
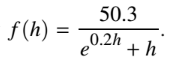
AP Calculus AB 2016 Exam
Calculus Lessons
AP Calculus AB 2017 Free Response Questions - Complete Paper (pdf)
AP Calculus AB 2017 Free Response Question 1

Based on this model, find the volume of the tank. Indicate units of measure.AP Calculus AB 2017 Free Response Question 2

(a) How many pounds of bananas are removed from the display table during the first 2 hours the store is open?
(b) Find f'(7) . Using correct units, explain the meaning of f'(7) in the context of the problem.
(c) Is the number of pounds of bananas on the display table increasing or decreasing at time t = 5? Give a reason for your answer.
(d) How many pounds of bananas are on the display table at time t = 8?
AP Calculus AB 2017 Free Response Question 3

AP Calculus AB 2017 Free Response Question 4

AP Calculus AB 2017 Free Response Question 5
5. Two particles move along the x-axis. For ≤ t ≤ 80, the position of particle P at time t is given by xP(t) = ln(t2 - 2t + 10 ), while the velocity of particle Q at time t is given by vQ = t2 - 8t + 15.
Particle Q is at position x = 5 at time t = 0.
(a) For 0 ≥ t ≥ 8, when is particle P moving to the left?
(b) For 0 ≥ t ≥ 8, find all times t during which the two particles travel in the same direction.
(c) Find the acceleration of particle Q at time t = 2. Is the speed of particle Q increasing, decreasing, or neither at time t = 2 ? Explain your reasoning.
(d) Find the position of particle Q the first time it changes direction.
AP Calculus AB 2017 Free Response Question 6

Check out our most popular games!
Fraction Concoction Game:
Master fractions in the lab: mix, add, and subtract beakers to create the perfect concoction!
Fact Family Game:
Complete fact families and master the link between addition & subtraction and multiplication & division.
Number Bond Garden:
Clear the board by matching number pairs that sum to ten in this garden-themed mental math puzzle.
Online Addition Subtraction Game:
Practice your addition and subtraction skills to help the penguin find its mummy.
We welcome your feedback, comments and questions about this site or page. Please submit your feedback or enquiries via our Feedback page.