Subtracting Rational Expressions


In these lessons, we will be looking at how to subtract rational expressions with the same denominator and rational expressions with different denominators.




Share this page to Google Classroom

Related Pages
Simplifying Rational Expressions
More Algebra Lessons

A rational expression is a fraction in which either the numerator, or the denominator, or both the numerator and the denominator are algebraic expressions.

Subtracting Rational Expressions with Same Denominators

When the denominators of two algebraic fractions are the same, we can subtract the numerators and then simplify when possible.

Example:
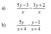
Simplify the following expression:


 

Solution:
subtract rational expressions
 

How to subtract rational expressions with same denominators?

Example:
(8f - g)/2 - (8f + g)/2

How to add and subtract rational expressions with the the same denominators?

Examples:

  1. (4x - 1)/(x - 3) + (1 + 3x)/(x - 3) =
  2. (x2 + 7x)/(x - 7) - (10x + 28)/(x - 7) =



Subtracting Rational Expressions with Different Denominators

When the denominators of two algebraic fractions are different, we need to find the Least Common Multiple of the denominators (or LCD) before we subtract the fractions.

Here are the steps you need to follow:

Step 1: Find the LCD

Step 2: Express each fraction with the LCD as the denominator.

Step 3: Subtract the numerators and simplify when possible.

Now we apply the above 3 steps in the following example.

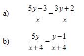
Example:
Express the following as a fraction with a single denominator:


 

Solution:
subtract rational expressions
 

How to subtract rational expressions with different denominators?

Example:
(-7f)/(f - n) - (4f - n)/(4f - 4n) =

How to subtract rational expressions with different trinomial denominators?

Example:
(3q + 4)/(3q2 + 5q - 28) - (5q + 3)/(2q2 + 3q - 20)

How to add and subtract rational expressions when the denominators are different?

Example:
3/(x - 3) + 2/(x + 5)
7/(x + 2) - 5/(x + 3)

How to subtract rational expressions with unlike denominators?

Example:
(2x + 5)/(x2 + 3x -10) - 3/(x + 6)



Check out our most popular games!

Fraction Concoction Game:
Master fractions in the lab: mix, add, and subtract beakers to create the perfect concoction!

Fraction Concoction Game

Fact Family Game:
Complete fact families and master the link between addition & subtraction and multiplication & division.

Fact Family Game

Number Bond Garden:
Clear the board by matching number pairs that sum to ten in this garden-themed mental math puzzle.

Number Bond Garden

Online Addition Subtraction Game:
Practice your addition and subtraction skills to help the penguin find its mummy.

Online Addition Subtraction Game



We welcome your feedback, comments and questions about this site or page. Please submit your feedback or enquiries via our Feedback page.