Multiplying Algebraic Expressions


Related Pages
Algebraic Expressions
Adding And Subtracting Algebraic Expressions
More Algebra Lessons

In these lessons, we will learn how to multiply algebraic expressions.




Share this page to Google Classroom

Multiplying algebraic expressions involves using the distributive property and the rules of exponents. Then, combine like terms to simplify the result.

The following diagram shows how to multiply algebraic expressions. Scroll down the page for more examples and solutions on how to multiply expressions.

Multiplying Algebraic Expressions

The following diagram shows some expansions, that are useful to remember, when multiplying two algebraic expressions or binomials. Scroll down the page for more examples and solutions on how to expand expressions.

Expand Expressions

Algebra Math Worksheets
Practice your skills with the following worksheets:
Printable & Online Algebra Worksheets

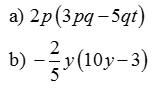
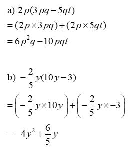
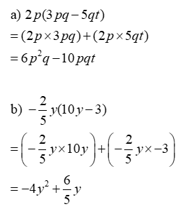
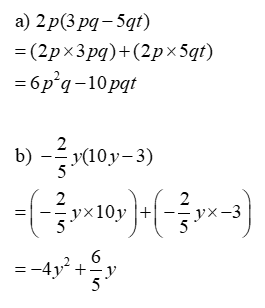
How to Multiply a Term and an Algebraic Expression?
We will first consider examples of multiplying a term and an algebraic expression.

Multiplying Expressions Example



How to Multiply Two Algebraic Expressions?
Next, we will also consider the multiplication of two algebraic expressions: (a + b)(c + d)

Such an operation is called ‘expanding the expression’.
To expand the expression, we multiply each term in the first pair of brackets by every term in the second pair of brackets.

Example:
Expand the following:
a) (y – 3)(2y + 5)
b) (a + b)2

Solution:
a) (y – 3)(2y + 5)
= y(2y+ 5) – 3(2y + 5)
= (y × 2y) + (y × 5) + (–3 × 2y) + (–3 × 5)
= 2y2 + 5y – 6y – 15
= 2y2 – y – 15

b) (a + b)2
= (a + b)(a + b) = a(a + b) + b(a + b)
= a2 + ab + ab + b2
= a2 + 2ab + b2

Multiplication of Algebraic Expressions:

  1. Multiply the numbers (numerical coefficients)
  2. Multiply the letters (literal numbers) - Exponents can only be combined if the base is the same.

Example:

  1. -2c2(-7c3x5)(bx2)2 =
  2. 3a2(-ab4)(2a2c3) =
  3. 3sy(s - t) =
  4. 4uv2(3u2z - 7u3) =

Examples of multiplying expressions using the distributive property
Example:

  1. (x + 2)(x + 3)
  2. (5x + 9)(4x - 2)
  3. (2x + y)(3x + 2y)
  4. (2x + 2)2

Multiplication of Algebraic Expressions - Use the distributive property
Example:

  1. 3cy2(-4cx - 2xy3)
  2. (x + 5)(x -2)

Multiplication of Algebraic Expressions - Solving Complex Questions
Example:

  1. (b + 3c)2
  2. (2y - 4)3


Check out our most popular games!

Fraction Concoction Game:
Master fractions in the lab: mix, add, and subtract beakers to create the perfect concoction!

Fraction Concoction Game

Fact Family Game:
Complete fact families and master the link between addition & subtraction and multiplication & division.

Fact Family Game

Number Bond Garden:
Clear the board by matching number pairs that sum to ten in this garden-themed mental math puzzle.

Number Bond Garden

Online Addition Subtraction Game:
Practice your addition and subtraction skills to help the penguin find its mummy.

Online Addition Subtraction Game



We welcome your feedback, comments and questions about this site or page. Please submit your feedback or enquiries via our Feedback page.