Equal Vectors


In these lessons, we will learn about equal vectors and solve simple problems involving equality of vectors.




Share this page to Google Classroom

Related Pages
Vectors
Vector Addition
Vector Subtraction
Vector Multiplication
Vector Geometry

What are equal vectors?

Equal vectors are vectors that have the same magnitude and the same direction.

Equal vectors may start at different positions. Note that when the vectors are equal, the directed line segments are parallel.

equal vectors
 

Equality Of Column Vectors If two vectors are equal then their vector columns are equal.

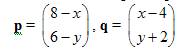
Example:
The column vectors p and q are defined by


 

Given that p = q

a) find the values of x and y

b) find the values of and

c) express y in terms of x

Solution:




Equal vectors and negative vectors

Magnitude of Vectors and Equal Vectors

When are two vectors equal?
Two vectors are equal if they have the same length (magnitude) and direction.

Example:

  1. Let u be the vector represented by the directed line segment from R = (-4, 2) to S = (-1, 6)
    a) Find the magnitude of u.
    b) Find the component form of the vector.

Equal Vectors

What are the conditions necessary for vectors to be considered equal?
Two vectors are equal if they have the same length and direction and are parallel.
What is a negative vector?

Equivalent vectors examples

Example:
Are vectors u and w equivalent?
Yes, they are equivalent.
No, they have the same magnitude, but different directions.
No, they have the same direction, but different magnitudes.
No, they have different magnitudes and directions.



Check out our most popular games!

Fraction Concoction Game:
Master fractions in the lab: mix, add, and subtract beakers to create the perfect concoction!

Fraction Concoction Game

Fact Family Game:
Complete fact families and master the link between addition & subtraction and multiplication & division.

Fact Family Game

Number Bond Garden:
Clear the board by matching number pairs that sum to ten in this garden-themed mental math puzzle.

Number Bond Garden

Online Addition Subtraction Game:
Practice your addition and subtraction skills to help the penguin find its mummy.

Online Addition Subtraction Game



We welcome your feedback, comments and questions about this site or page. Please submit your feedback or enquiries via our Feedback page.