We hope you enjoy our collection of favorite math jokes and jokes about numbers. You may want to check out our algebra math jokes, calculus math jokes, geometry math jokes etc. on our
Math Trivia page.
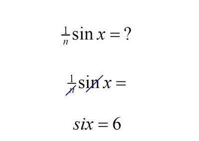
A collection of Math Bloopers.







Math Bloopers in Movies and TV shows
This is a collection of mathematical mistakes from movies and TV shows.
Rotate to landscape screen format on a mobile phone or small tablet to use the Mathway widget, a free math problem solver that answers your questions with step-by-step explanations.
You can use the free Mathway calculator and problem solver below to practice Algebra or other math topics. Try the given examples, or type in your own problem and check your answer with the step-by-step explanations.
We welcome your feedback, comments and questions about this site or page. Please submit your feedback or enquiries via our Feedback page.