This is for SAT in Jan 2016 or before.
The following are worked solutions for the questions in the math sections of the SAT Practice Tests found in the The Official SAT Study Guide Second Edition
.
It would be best that you go through the SAT practice test questions in the Study Guide first and then look at the worked solutions for the questions that you might need assistance in. Due to copyright issues, we are not able to reproduce the questions, but we hope that the worked solutions will be helpful.
6. Correct answer: (D)
Given:
10m2k-1 = 100m where m and k are positve
To find:
m-1 in terms of k
Solution:
Topic(s): Exponents
![]()
Divide both sides with 10m2
![]()
Answer: (D)
7. Correct answer: (E)
Given:
Edna and Nancy walked for 4 hours
Edna walked East at 4 km/h
Nancy walked North at 3 km/h
To find:
The distance between them at the end of 4 hours
Solution:
Topic(s): 3-4-5 triangle

It is a 3-4-5 triangle: The ratio of the sides tells us that the hypotenuse would be 5t = 5 × 4 = 20
Answer: (E) 20
8. Correct answer: (C)
Given:
The graph with minimum point (1,1)
f(b) = f(3)
To find:
The value of b
Solution:
Topic(s): Coordinate geometry
From the graph we find the f(3) = 5.
The other place where the y-coordinate of the graph is also 5 is at x = –1 i.e. f(–1) = 5
Answer: (C) –1
9. Correct answer: 7
Given:
A family of 5 planning a 4-day trip
Each person brings one bottle of water for each day
The water is sold in 3-bottle packages
To find:
The number of packages the family must buy
Solution:
The family needs 5 × 4 = 20 bottles.
The water is sold in 3-bottle packages.
The smallest multiple of 3 greater than 20 is 21.
7 × 3 = 21
Answer: 7
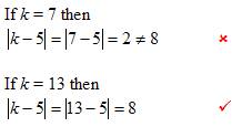
10. Correct answer: 13
Given:
To find:
The value of k
Solution:
Topic(s): Absolute value
The equation
![]()
can be rewitten as two equations:
10 – k = 3, 10 – k = –3
We can then get two possible values for k.
10 – k = 3 ⇒ k = 10 – 3 = 7
10 – k = –3 ⇒ k = 10 + 3 = 13
We test out the two values of k for the second equation given in the question.
Answer: 13
Try out our new and fun Fraction Concoction Game.
Add and subtract fractions to make exciting fraction concoctions following a recipe. There are four levels of difficulty: Easy, medium, hard and insane. Practice the basics of fraction addition and subtraction or challenge yourself with the insane level.
We welcome your feedback, comments and questions about this site or page. Please submit your feedback or enquiries via our Feedback page.