Related Topics:
More Algebra Lessons
Free Algebra Worksheets
A rational expression is a fraction in which either the numerator, or the denominator, or both the numerator and the denominator are algebraic expressions.
When two fractions are multiplied, we multiply the numerators of the fractions to form the new numerator and we do the same for the denominators. This is the same with rational expressions. If there are common factors in both numerator and denominator of the two rational expressions then we may cancel them before we multiply.
Example:
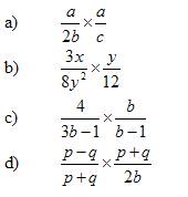
Simplify the following expressions:

Solution:

How to multiply rational expressions?
How to multiply a rational expression where a binomial common factor has opposite sign?
Rational Expressions: Multiplying and Dividing. Ex 1
This video shows how to divide two rational expressions containing binomials.
Rational Expressions: Multiplying and Dividing. Ex 2
How to divide two rational expressions containing quadratic trinomials.
Rational Expressions: Multiplying and Dividing. Ex 3
How to divide two rational expressions.
Try out our new and fun Fraction Concoction Game.
Add and subtract fractions to make exciting fraction concoctions following a recipe.
There are four levels of difficulty: Easy, medium, hard and insane. Practice the basics
of fraction addition and subtraction or challenge yourself with the insane level.
We welcome your feedback, comments and questions about this site or page. Please submit your feedback or enquiries via our Feedback page.