Related Topics:
More videos, activities and worksheets that are suitable for A Level Maths
Questions and Worked Solutions for FP1 Edexcel Further Pure Mathematics June 2015.
Edexcel Core Mathematics FP1 June 2015 Past Paper
FP1 Mathematics Edexcel June 2015 Question 1
f(x) = 9x3 – 33x2 – 55x – 25
Given that x = 5 is a solution of the equation f(x) = 0, use an algebraic method to solve f(x) = 0 completely.
Step by Step Solutions for Question 1
FP1 Mathematics Edexcel June 2015 Question 2
In the interval 13 < x < 14, the equation
3 + x sin(x/4) = 0, where x is measured in radians,
has exactly one root, α.
(a) Starting with the interval [13, 14], use interval bisection twice to find an interval of width 0.25 which contains α.
(b) Use linear interpolation once on the interval [13, 14] to find an approximate value for α.
Give your answer to 3 decimal places.
Step by Step Solutions for Question 2
FP1 Mathematics Edexcel June 2015 Question 3

Step by Step Solutions for Question 3
FP1 Mathematics Edexcel June 2015 Question 4
z1 = 3i and z2 = 6/(1 + i√3)
(a) Express z2 in the form a + ib, where a and b are real numbers.
(b) Find the modulus and the argument of z2, giving the argument in radians in terms of π.
(c) Show the three points representing z1, z2 and (z1 + z2) respectively, on a single Argand diagram.
Step by Step Solutions for Question 4
FP1 Mathematics Edexcel June 2015 Question 5
The rectangular hyperbola H has equation xy = 9
The point A on H has coordinates (6, 3/2)
(a) Show that the normal to H at the point A has equation
2y – 8x + 45 = 0
The normal at A meets H again at the point B.
(b) Find the coordinates of B.
Step by Step Solutions for Question 5
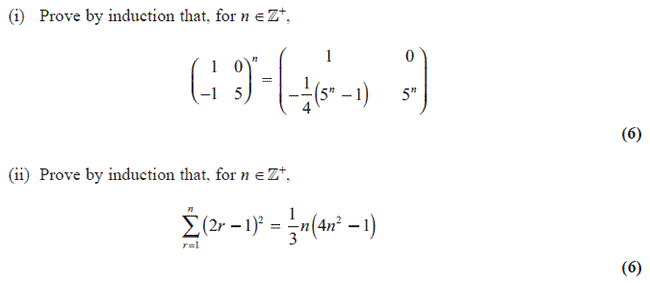
FP1 Mathematics Edexcel June 2015 Question 6

Step by Step Solutions for Question 6
FP1 Mathematics Edexcel June 2015 Question 7

A triangle T is transformed onto a triangle T' by the transformation represented by the matrix B.
The vertices of triangle T' have coordinates (0, 0), ( −20, 6) and (10c, 6c), where c is a positive constant.
The area of triangle T' is 135 square units.
(a) Find the matrix B–1
(b) Find the coordinates of the vertices of the triangle T, in terms of c where necessary.
(c) Find the value of c.
Step by Step Solutions for Question 7
FP1 Mathematics Edexcel June 2015 Question 8
The point P(3p2, 6p) lies on the parabola with equation y2= 12x and the point S is the focus of this parabola.
(a) Prove that SP = 3(1 + 2)
The point Q(3q2, 6q), p ≠ q, also lies on this parabola.
The tangent to the parabola at the point P and the tangent to the parabola at the point Q meet at the point R.
(b) Find the equations of these two tangents and hence find the coordinates of the point R, giving the coordinates in their simplest form.
(c) Prove that SR2 = SP.SQ
Step by Step Solutions for Question 8
Try out our new and fun Fraction Concoction Game.
Add and subtract fractions to make exciting fraction concoctions following a recipe. There are four levels of difficulty: Easy, medium, hard and insane. Practice the basics of fraction addition and subtraction or challenge yourself with the insane level.
We welcome your feedback, comments and questions about this site or page. Please submit your feedback or enquiries via our Feedback page.