Reciprocals and Complex Fractions


Related Topics:
More Lessons for Arithmetic
Math Worksheets




Share this page to Google Classroom

In this lesson, we will learn what is the Reciprocal of a fraction, what is a Complex Fraction and how to simplify a Complex Fraction.

What is the Reciprocal of a fraction?
The reciprocal of a fraction is the fraction turned upside down. That is the numerator becomes the denominator and the denominator becomes the numerator, for example:
The reciprocal of

The reciprocal of or 8.

To get the reciprocal of a mixed number, first convert to improper fraction and then invert, for example:

The reciprocal of is Any number multiplied by its reciprocal will always be 1, for example:

What is a Complex Fraction? A complex fraction is a fraction within a fraction. If we have a fraction as the numerator, then the denominators are to be multiplied to get the simplified fraction.

For example:

Complex Fraction

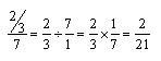
If we have a fraction as the denominator, then the top numerator is multiplied with the reciprocal of the denominator to get the simplified fraction.

For example:




How to simplify a Complex Fraction?

Method 1 : Fraction Division

  1. Convert any mixed numbers to improper fractions.
  2. Reduce the fractions when possible.
  3. Divide the fraction in the numerator with the fraction in the denominator by inverting the fraction in the denominator and then multiply with the numerator.
  4. Reduce the fraction when possible.

Method 2 : LCD Multiplication

  1. Convert any mixed numbers to improper fractions.
  2. Reduce the fractions when possible.
  3. Find the least common denominator (LCD) of all fractions appearing within the complex fraction.
  4. Multiply all the fractions in the numerator and the denominator by the LCD. (This will change the complex fraction to a normal fraction)
  5. Calculate and reduce the fraction when possible.

Simplifying Complex Fractions - Example 1 (Fraction Division Method)
This video shows how to simplify a complex fraction by getting common denominators, flipping, multiplying, and canceling.

Simplifying Complex Fractions - Example 2 (Fraction Division Method)

Simplifying complex fractions (LCD Multiplication Method)
Two examples of simplifying complex fractions using the LCD Multiplication ie. multiplying every term of the complex fraction by the LCD of all the fractions that appear in the complex fraction.

Simplify Complex Fractions (LCD Multiplication Method)



Check out our most popular games!

Fraction Concoction Game:
Master fractions in the lab: mix, add, and subtract beakers to create the perfect concoction!

Fraction Concoction Game

Fact Family Game:
Complete fact families and master the link between addition & subtraction and multiplication & division.

Fact Family Game

Number Bond Garden:
Clear the board by matching number pairs that sum to ten in this garden-themed mental math puzzle.

Number Bond Garden

Online Addition Subtraction Game:
Practice your addition and subtraction skills to help the penguin find its mummy.

Online Addition Subtraction Game



We welcome your feedback, comments and questions about this site or page. Please submit your feedback or enquiries via our Feedback page.