AP Calculus BC 2017 Free Response Questions - Complete Paper (pdf)
AP Calculus BC 2017 Free Response Question 1

(a) Use a left Riemann sum with the three subintervals indicated by the data in the table to approximate the volume of the tank. Indicate units of measure.
(b) Does the approximation in part (a) overestimate or underestimate the volume of the tank? Explain your reasoning.
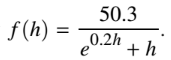
(c) The area, in square feet, of the horizontal cross section at height h feet is modeled by the function f given by
Based on this model, find the volume of the tank. Indicate units of measure.
(d) Water is pumped into the tank. When the height of the water is 5 feet, the height is increasing at the rate of 0.26 foot per minute. Using the model from part (c), find the rate at which the volume of water is changing with respect to time when the height of the water is 5 feet. Indicate units of measure.
AP Calculus BC 2017 Free Response Question 2

(a) Find the area of R.
(b) The ray θ = k, where 0 < k < &pi/2, divides S into two regions of equal area. Write, but do not solve, an
equation involving one or more integrals whose solution gives the value of k.
(c) For each θ, 0 ≤ θ ≤ π/2, let w(θ) be the distance between the points
with polar coordinates (f(θ),θ) and (g(θ),θ). Write an expression for w(θ).
Find wA, the average value of w(θ) over the interval 0 ≤ θ ≤ π/2.
(d) Using the information from part (c), find the value of θ for which w(θ) = wA.
Is the function w(θ) increasing or decreasing at that value of θ ? Give a reason for your answer.
AP Calculus BC 2017 Free Response Question 3

AP Calculus BC 2017 Free Response Question 4

AP Calculus BC 2017 Free Response Question 5

AP Calculus BC 2017 Free Response Question 6

Check out our most popular games!
Fraction Concoction Game:
Master fractions in the lab: mix, add, and subtract beakers to create the perfect concoction!
Fact Family Game:
Complete fact families and master the link between addition & subtraction and multiplication & division.
Number Bond Garden:
Clear the board by matching number pairs that sum to ten in this garden-themed mental math puzzle.
Online Addition Subtraction Game:
Practice your addition and subtraction skills to help the penguin find its mummy.
We welcome your feedback, comments and questions about this site or page. Please submit your feedback or enquiries via our Feedback page.